Κοινή Υπουργική Απόφαση Αριθμ. 50025/2018
ΦΕΚ 4217/Β/26-9-2018
Μεταφορά μαθητών δημόσιων σχολείων από τις Περιφέρειες.
ΑΠΟΦΑΣΗ ΥΠΟΥΡΓΩΝ
ΕΣΩΤΕΡΙΚΩΝ ΠΑΙΔΕΙΑΣ, ΕΡΕΥΝΑΣ ΚΑΙ ΘΡΗΣΚΕΥΜΑΤΩΝ ΟΙΚΟΝΟΜΙΚΩΝ ΥΠΟΔΟΜΩΝ ΚΑΙ ΜΕΤΑΦΟΡΩΝ
Έχοντας υπόψη:
1.Τις διατάξεις
α) της παρ. 9 του άρθρου 2 του ν. 1566/1985 (ΦΕΚ Α’ 167) «Δομή και λειτουργία της Πρωτοβάθμιας και Δευτεροβάθμιας Εκπαίδευσης και άλλες διατάξεις»,
β) του εδαφίου δ’ της παρ. 24 του άρθρου 2 του ν. 2621/1998 (ΦΕΚ Α’ 136) «Ρύθμιση θεμάτων οργάνωσης και λειτουργίας των ΤΕΙ κ.λπ.»,
γ) του άρθρου 83 του ν. 3463/2006 (ΦΕΚ Α’ 114) «Κύρωση του Κώδικα Δήμων και Κοινοτήτων»,
δ) του ν. 4412/2016 (ΦΕΚ Α’ 147) «Συμβάσεις Έργων, Προμηθειών και Υπηρεσιών (προσαρμογή στις Οδηγίες 2014/24/ΕΕ και 2014/25/ΕΕ)»,
ε) του άρθρου εβδόμου και του άρθρου ενάτου του ν. 4089/2012 (ΦΕΚ Α’ 206) «Κύρωση της Πράξης Νομοθετικού Περιεχομένου ”Μεταφορά Μαθητών για το σχολικό έτος 2012-2013 (Α’ 171)” και άλλες διατάξεις»,
στ) του ν. 3852/2010 (ΦΕΚ Α’ 87) «Νέα Αρχιτεκτονική της Αυτοδιοίκησης και της Αποκεντρωμένης Διοίκησης Πρόγραμμα Καλλικράτης»,
ζ) του ν. 3463/2006 (ΦΕΚ Α’ 114) «Κώδικας Δήμων και Κοινοτήτων»,
η) του ν. 4070/2012 (ΦΕΚ Α’ 82) «Ρυθμίσεις Ηλεκτρονικών Επικοινωνιών, Μεταφορών, Δημοσίων Έργων και άλλες διατάξεις», όπως ισχύει,
θ) του ν. 4530/2018 (ΦΕΚ Α’ 59) «Ρυθμίσεις θεμάτων μεταφορών και άλλες διατάξεις»,
ι) του ν. 4286/2014 (ΦΕΚ Α’ 194) «Γενικές διατάξεις για τη δημιουργία συστήματος αμοιβών νοσοκομείων σύσταση και καταστατικό της εταιρείας με την επωνυμία ”Εταιρεία συστήματος αμοιβών νοσοκομείων ανώνυμη εταιρεία” Προσαρμογή στο Εθνικό Δίκαιο της Οδηγίας 2012/39/ΕΕ της επιτροπής της 26ης Νοεμβρίου 2012 για την τροποποίηση της Οδηγίας 2006/17/ΕΚ και λοιπές διατάξεις»,
ια) του ν. 4415/2016 (ΦΕΚ Α’ 159) «Ρυθμίσεις για την ελληνόγλωσση εκπαίδευση, τη διαπολιτισμική εκπαίδευση και άλλες διατάξεις»,
ιβ) του ν. 2963/2001 (ΦΕΚ Α’ 268) «Οργάνωση και λειτουργία των δημόσιων επιβατικών μεταφορών με λεωφορεία, τεχνικός έλεγχος οχημάτων και ασφάλεια χερσαίων μεταφορών και άλλες διατάξεις»,
ιγ) του άρθρου 1του ν. 2446/1996 (ΦΕΚ Α’ 276) «Τροποποίηση του ν. 711/1977 (ΦΕΚ Α’ 284) ”Περί Ειδικών Τουριστικών Λεωφορείων” και άλλες διατάξεις»,
ιδ) του ν. 2696/1999 (ΦΕΚ Α’ 57) «Κύρωση του Κώδικα Οδικής Κυκλοφορίας», όπως ισχύει,
ιε) του π.δ. 65/2011 (ΦΕΚ Α’ 147) «Διάσπαση του Υπουργείου Εσωτερικών, Αποκέντρωσης και Ηλεκτρονικής Διακυβέρνησης στα Υπουργεία α) Εσωτερικών και β) Διοικητικής Μεταρρύθμισης και Ηλεκτρονικής Διακυβέρνησης, κ.λπ.»,
ιστ) του π.δ. 70/2015 (ΦΕΚ Α’ 114) «Ανασύσταση των Υπουργείων Πολιτισμού και Αθλητισμού, Υποδομών, Μεταφορών και Δικτύων, Αγροτικής Ανάπτυξης και Τροφίμων. Ανασύσταση του Υπουργείου Ναυτιλίας και Αιγαίου και μετονομασία του σε Υπουργείο Ναυτιλίας και Νησιωτικής Πολιτικής. Μετονομασία του Υπουργείου Πολιτισμού, Παιδείας και Θρησκευμάτων σε Υπουργείο Παιδείας, Έρευνας και Θρησκευμάτων, του Υπουργείου Οικονομίας, Υποδομών, Ναυτιλίας και Τουρισμού σε Υπουργείο Οικονομίας, Ανάπτυξης και Τουρισμού και του Υπουργείου Παραγωγικής Ανασυγκρότησης, Περιβάλλοντος και Ενέργειας σε Υπουργείο Περιβάλλοντος και Ενέργειας. Μεταφορά Γενικής Γραμματείας Βιομηχανίας στο Υπουργείο Οικονομίας, Ανάπτυξης και Τουρισμού»,
ιζ) του π.δ. 141/2017 (ΦΕΚ Α’ 180) «Οργανισμός Υπουργείου Εσωτερικών»,
ιη) του π.δ. 79/2017 (ΦΕΚ Α’ 109) «Οργάνωση και λειτουργία νηπιαγωγείων και δημοτικών σχολείων», όπως ισχύει,
ιθ) του π.δ. 18/2018 (ΦΕΚ Α’ 31) «Οργανισμός Υπουργείου Παιδείας και Θρησκευμάτων»,
κ) του π.δ. 123/2017 (ΦΕΚ Α’ 151) «Οργανισμός του Υπουργείου Υποδομών και Μεταφορών», κα) του π.δ. 125/2016 (ΦΕΚ Α’ 210) «Διορισμός Υπουργών, Αναπληρωτών Υπουργών και Υφυπουργών»,
κβ) του π.δ. 88/2018 (ΦΕΚ Α’ 160) «Διορισμός Υπουργών, Αναπληρωτών Υπουργών και Υφυπουργών»,
κγ) του άρθρου 90 του Κώδικα νομοθεσίας για την Κυβέρνηση και τα κυβερνητικά όργανα, που κωδικοποιήθηκε με το άρθρο πρώτο του π.δ. 63/2005 (ΦΕΚ Α’ 98), καθώς και του π.δ. 80/2016 (ΦΕΚ Α’ 145) «Ανάληψη υποχρεώσεων από τους διατάκτες»,
κδ) της 29/8102015 (ΦΕΚ Β’ 2168) υπουργικής απόφασης του Πρωθυπουργού «Ανάθεση αρμοδιοτήτων στον Αναπληρωτή Υπουργό Οικονομικών Γεώργιο Χουλιαράκη»,
κε) της 10645/ΓΔ4/22.1.2018 (ΦΕΚ Β’ 120) υπουργικής απόφασης «Εγγραφές, μετεγγραφές, φοίτηση και θέματα οργάνωσης της σχολικής ζωής στα σχολεία της δευτεροβάθμιας εκπαίδευσης»,
κστ) του β.δ. 306/1973 (ΦΕΚ Α’ 90) «Περί κωδικοποιήσεως εις ενιαίον κείμενον των διατάξεων των ν.δ/των 634/1970 και 1245/1972 περί ολικής ή μερικής απαλλαγής προσώπων τινών της υποχρεώσεως καταβολής κομίστρου κατά την διακίνησίν των διά λεωφορείων αυτοκινήτων», κζ) της 17910/1225/2014 (ΦΕΚ Β’ 2129) υπουργικής απόφασης «Προδιαγραφές ζωνών ασφαλείας, καθισμάτων και αγκυρώσεων ζωνώνκαθισμάτων σε σχολικά λεωφορεία και διατάξεις μεταφοράς μαθητών»,
κη) της Υ1α/76785/12.10.2017 (ΦΕΚ Β’ 3758) υπουργικής απόφασης «Ιατρικός έλεγχος προσωπικού, διατροφή και κανόνες υγιεινής και ασφάλειας των τροφίμων στους δημόσιους και ιδιωτικούς βρεφικούς, βρεφονηπιακούς και παιδικούς σταθμούς»,
κθ) της Α79574/5488/16 (ΦΕΚ Β’ 4587) υπουργικής απόφασης «Ιατρικό πιστοποιητικό της παραγράφου 4 του άρθρου 95 του ν. 4070/2012 (Α’ 82) για τη χορήγηση ή ανανέωση ειδικής άδειας οδήγησης Επιβατηγού Δημόσιας Χρήσης (Ε.Δ.Χ.) αυτοκινήτου και την οδήγηση ολικώς εκμισθωμένου Επιβατηγού Ιδιωτικής Χρήσης (Ε.Ι.Χ.) αυτοκινήτου κατά το ν. 4093/2012 (Α’ 222)»,
λ) της 2/45552/0026/31-7-2001 (ΦΕΚ Β’ 1066) υπουργικής απόφασης «Καθορισμός δικαιολογητικών δαπανών του Δημοσίου για μεταφορά μαθητών Π/θμιαςΔ/θμιας Εκπαίδευσης»,
λα) της Α54501/5518/14 (ΦΕΚ Β’ 227) υπουργικής απόφασης «Καθορισμός κομίστρου για Επιβατηγά Δημόσιας Χρήσης αυτοκίνητα ΤΑΞΙ (Ε.Δ.Χ. ΤΑΞΙ)», όπως ισχύει,
λβ) της 95030/ΓΔ4/15.06.2017 (ΦΕΚ Β’ 2073) υπουργικής απόφασης «Αρμοδιότητα μεταφοράς μαθητών»,
λγ) της αριθμ. Γ9/2018 γνώμης της Ε.Α.Α.ΔΗ.ΣΥ σύμφωνα με το άρθρο 2, παρ. 2, περ. γ’, υποπερ. (γγ) του ν. 4013/2011.
2)Την από 372018 εισήγηση Γ.Δ.Ο.Υ. του Γενικού Διευθυντή Οικονομικών Τοπικής Αυτοδιοίκησης και Αναπτυξιακής Πολιτικής.
3.Το γεγονός ότι από τις διατάξεις της παρούσας προκαλείται ετήσια δαπάνη ύψους 170.000.000,00 € περίπου σε βάρος του προϋπολογισμού των οικείων Περιφερειών, η οποία θα καλύπτεται από τους αποδιδόμενους σε αυτές Κεντρικούς Αυτοτελείς Πόρους, αποφασίζουμε:
Άρθρο 1
Μαθητές Πρωτοβάθμιας και Δευτεροβάθμιας Εκπαίδευσης δικαιούμενοι δωρεάν μεταφοράς
1.Οι Περιφέρειες μεταφέρουν δωρεάν τους μαθητές Πρωτοβάθμιας (α’ και β’ προσχολικής ηλικίας και Δημοτικού) και Δευτεροβάθμιας εκπαίδευσης δημόσιων σχολείων, υπό τις προϋποθέσεις που ορίζονται ως κάτωθι: Η ελάχιστη απόσταση της κατοικίας του μαθητή από τη σχολική μονάδα, πάνω από την οποία ο μαθητής δικαιούται δωρεάν μεταφορά, προσδιορίζεται ως εξής:
ΠΕΡΙΠΤΩΣΗ Α. Για μεταφορά μαθητών με ειδικά μαθητικά δελτία (ΕΜΔ) και ίδια μέσα των Περιφερειών και των Δήμων
α. 1.200 μέτρα για μαθητές Πρωτοβάθμιας Εκπαίδευσης, β. 2.500 μέτρα για μαθητές Γ υμνασίων, γ. 4.000 μέτρα για μαθητές Λυκείων και ΕΠΑΛ.
ΠΕΡΙΠΤΩΣΗ Β. Για μεταφορά μαθητών με δημόσια σύμβαση υπηρεσιών α. 1.200 μέτρα για μαθητές Πρωτοβάθμιας Εκπαίδευσης κατ’ ελάχιστον μέχρι την Β’ τάξη του Δημοτικού, β. 3.000 μέτρα για μαθητές Γυμνασίων, γ. 5.000 μέτρα για μαθητές Λυκείων και ΕΠΑΛ.
Οι μαθητές εγγράφονται σε σχολική μονάδα σύμφωνα με τη χωροταξική κατανομή των αρμόδιων Διευθύνσεων Πρωτοβάθμιας και Δευτεροβάθμιας Εκπαίδευσης του Υπουργείου Παιδείας, Έρευνας και Θρησκευμάτων, βάσει των διατάξεων του π.δ. 79/2017 και της υπουργικής απόφασης αριθμ. 10645/ΓΔ4/22.1.2018 (ΦΕΚ Β’ 120), όπως ισχύουν.
Αποκλειστικά σε περιπτώσεις που για εκπαιδευτικούς λόγους κρίνεται αναγκαία η μεταφορά μαθητή σε σχολείο εκτός της προβλεπόμενης χωροταξικής κατανομής, σύμφωνα με την αριθμ. 95030/ΓΔ4/15.06.2017 απόφαση του Υπουργού Παιδείας, Έρευνας και Θρησκευμάτων, η μεταφορά καθορίζεται με απόφαση: α) Του οικείου Περιφερειακού Διευθυντή Εκπαίδευσης όταν πρόκειται για μεταφορά μαθητή από διαφορετικές όμορες Περιφερειακές και Δημοτικές ενότητες, εντός της ίδιας Περιφέρειας, λαμβάνοντας υπόψη:
1)Τη χιλιομετρική απόσταση του τόπου κατοικίας του μαθητή μέχρι το σχολείο υποδοχής.
2)Άλλους παράγοντες που δυσχεραίνουν τη μεταφορά εντός της περιφερειακής ή δημοτικής ενότητας.
β) Του Περιφερειακού Διευθυντή Εκπαίδευσης στην αρμοδιότητα του οποίου υπάγεται η Διεύθυνση Εκπαίδευσης που εποπτεύει το σχολείο υποδοχής, όταν πρόκειται για μεταφορά μαθητή μεταξύ δύο όμορων Περιφερειών, λαμβάνοντας υπόψη:
1)Τη χιλιομετρική απόσταση του τόπου κατοικίας του μαθητή μέχρι το σχολείο υποδοχής.
2)Άλλους παράγοντες που δυσχεραίνουν τη μεταφορά εντός της Περιφέρειας και
3)Τη σύμφωνη γνώμη του Περιφερειακού Διευθυντή Εκπαίδευσης του τόπου κατοικίας του/των μαθητή/των εντός δέκα (10) ημερών από την υποβολή του σχετικού αιτήματος του Διευθυντή του σχολείου υποδοχής.
Για την έκδοση της απόφασης απαιτείται αίτημα του Διευθυντή του σχολείου υποδοχής προς τον οικείο Περιφερειακό Διευθυντή Εκπαίδευσης μέσω του αρμοδίου Διευθυντή Εκπαίδευσης.
Το κόστος μεταφοράς των μαθητών, καθώς και τις προβλεπόμενες διαδικασίες αναλαμβάνει η Περιφερειακή Ενότητα, στην οποία έχει έδρα το σχολείο υποδοχής των μαθητών.
Για τη μεταφορά μαθητή εκτός χωροταξικής κατανομής εντός της ίδιας Διεύθυνσης Εκπαίδευσης για εξαιρετικά σοβαρούς εκπαιδευτικούς λόγους, η μεταφορά καθορίζεται με απόφαση του Διευθυντή Εκπαίδευσης.
Οι μαθητές της Α’ τάξης των ΕΠΑΛ δικαιούνται μεταφοράς για το πλησιέστερο στον τόπο κατοικίας τους ΕΠΑΛ, ενώ οι μαθητές της Β’ και της Γ’ τάξης των ΕΠΑΛ δικαιούνται μεταφοράς για το πλησιέστερο στον τόπο κατοικίας τους ΕΠΑΛ που διαθέτει τον τομέα ή την ειδικότητα της επιλογής τους.
Εάν η μεταφορά των μαθητών της Πρωτοβάθμιας και Δευτεροβάθμιας Εκπαίδευσης δημοσίων σχολείων δεν είναι εφικτή με δημόσια συγκοινωνία ή με ίδια μέσα των Περιφερειών και των Δήμων, σύμφωνα με την παρ. 4 του άρθρου δεκάτου εβδόμου του ν. 4286/2014 (ΦΕΚ Α’ 194), όπως τροποποιήθηκε με την παρ. 6 του άρθρου 63 του ν. 4415/2016, επιτρέπεται κατ’ εξαίρεση και έπειτα από σύμφωνη γνώμη επιτροπής, στην οποία μετέχει από ένας εκπρόσωπος της οικείας περιφερειακής ενότητας, της πρωτοβάθμιας αυτοδιοίκησης και του οικείου οργανισμού δημόσιας συγκοινωνίας υπό την Προεδρία του Περιφερειάρχη ή του αρμόδιου κατά περίπτωση Αντιπεριφερειάρχη, η υπέρβαση των χιλιομετρικών αποστάσεων που τίθεται στην εν λόγω κοινή υπουργική απόφαση, υπό την προϋπόθεση ότι το συνολικό κόστος της μεταφοράς μαθητών της οικείας περιφερειακής ενότητας, δεν υπερβαίνει το αντίστοιχο της περσινής σχολικής χρονιάς.
Μαθητές οι οποίοι έχουν ήδη ολοκληρώσει τη Δευτεροβάθμια Εκπαίδευση και εγγράφονται εκ νέου σε οποιοδήποτε σχολείο, εξαιρούνται της δωρεάν μεταφοράς, εκτός των μαθητών που εγγράφονται και φοιτούν για την απόκτηση 2ης και μόνο ειδικότητας στα Ενιαία Ειδικά Επαγγελματικά Γυμνάσια Λύκεια.
Μαθητές οι οποίοι εγγράφονται σε πολυθεσία σχολεία, ενώ χωροταξικά ανήκουν σε ολιγοθέσια σχολεία, εξαιρούνται της δωρεάν μεταφοράς.
2.Οι σύμφωνα με τις προϋποθέσεις του παρόντος άρθρου δικαιούμενοι μεταφοράς μαθητές, με την επιφύλαξη της επομένης παραγράφου, μεταφέρονται με τα οριζόμενα στο κεφ. Α του άρθρου 2 της παρούσας, εφόσον η συνολική απόσταση η οποία περιλαμβάνει την απόσταση των κατοικιών των μαθητών έως τη στάση επιβίβασης και την απόσταση της στάσης αποβίβασης έως τη σχολική μονάδα δεν υπερβαίνει τα όρια που θέτει η παρ. 1 περ. Α του παρόντος άρθρου.
3.Η μεταφορά των μαθητών των Σχολικών Μονάδων Ειδικής Αγωγής και Εκπαίδευσης (ΣΜΕΑΕ) από τον τόπο διαμονής τους ή από συγκεκριμένο τόπο συγκέντρωσής τους, στο σχολείο που φοιτούν και αντίστροφα, πραγματοποιείται χωρίς τους χιλιομετρικούς περιορισμούς της παρ. 1 του παρόντος άρθρου. Οι ανωτέρω μαθητές μεταφέρονται με τα ίδια μέσα των Δήμων και των Περιφερειών, σύμφωνα με τα οριζόμενα στο κεφ. Β του άρθρου 2 και εφόσον αυτό δεν είναι εφικτό ή κρίνεται οικονομικά ασύμφορο από πλευράς κόστους, τότε μεταφέρονται με δημόσια σύμβαση υπηρεσιών, σύμφωνα με το κεφ. Γ του ιδίου άρθρου.
4.Η μεταφορά των μαθητών των μουσικών σχολείων που μεταφέρουν βαριά και ογκώδη μουσικά όργανα, από τον τόπο διαμονής τους ή από συγκεκριμένο τόπο συγκέντρωσής τους στο σχολείο που φοιτούν και αντίστροφα, δύναται να πραγματοποιείται χωρίς τους χιλιομετρικούς περιορισμούς της παρ. 1 του παρόντος άρθρου υπό την προϋπόθεση της επιλογής του πλησιέστερου της περιοχής του μαθητή αντίστοιχου σχολείου, όπως καθορίζεται από την αντίστοιχη Διεύθυνση Εκπαίδευσης. Για τους μαθητές των μουσικών σχολείων που δεν μεταφέρουν βαριά και ογκώδη μουσικά όργανα, η δωρεάν μεταφορά από τον τόπο διαμονής τους στο σχολείο και αντίστροφα, ισχύει υπό τον χιλιομετρικό περιορισμό των 1.500 μέτρων και άνω και σύμφωνα με τη διαδικασία του άρθρου 2 (παρ. 1). Ο Διευθυντής της σχολικής μονάδας βεβαιώνει τη μεταφορά βαρέων και ογκωδών μουσικών οργάνων.
5.Η μεταφορά των μαθητών για την εφαρμογή του αντικειμένου της κολύμβησης, στο πλαίσιο του μαθήματος Φυσικής Αγωγής στην Πρωτοβάθμια Εκπαίδευση, από τις σχολικές μονάδες προς τα κολυμβητήρια και αντίστροφα, αφορά στους μαθητές της Γ’ τάξης δημοτικού και πραγματοποιείται μόνο όταν η ελάχιστη απόσταση της μεταφοράς αυτής είναι 1.200 μέτρα και η μέγιστη 25.000 μέτρα. Με αιτιολογημένη απόφαση του Περιφερειακού Διευθυντή Εκπαίδευσης και με την προϋπόθεση ότι δεν γίνεται υπέρβαση του προγραμματισμένου κόστους, δίνεται η δυνατότητα για δωρεάν μεταφορά των εν λόγω μαθητών για αποστάσεις από 6001.200 μέτρα, σε ειδικές περιπτώσεις που σχετίζονται με την ασφάλεια της μετακίνησης και την προστασία της υγείας των μαθητών. Οι ανωτέρω μαθητές μεταφέρονται είτε με τα ίδια μέσα των Δήμων είτε των Περιφερειών, σύμφωνα με τα οριζόμενα στο κεφ. Β του άρθρου 2 της παρούσας είτε, εφόσον αυτό δεν είναι εφικτό ή κρίνεται οικονομικά ασύμφορο από πλευράς κόστους, με δημόσια σύμβαση υπηρεσιών, σύμφωνα με το κεφ. Γ του ιδίου άρθρου.
Άρθρο 2
Διαδικασία μεταφοράς μαθητών
1.Οι δικαιούμενοι δωρεάν μεταφοράς μαθητές μεταφέρονται με τους παρακάτω οριζόμενους κατά σειρά προτεραιότητας τρόπους (κεφ. Α, Β, Γ).
Η σειρά προτεραιότητας δεν ισχύει στην περίπτωση κατά την οποία συντρέχουν λόγοι οικονομικότητας, υπό την προϋπόθεση της πλήρους τεκμηρίωσης της παρέκκλισης αυτής και της υποχρέωσης προσκόμισης των βεβαιώσεων όπως ορίζονται στο άρθρο 7.
Η μεταφορά των μαθητών μπορεί να οργανώνεται και με συνδυασμό των παρακάτω οριζόμενων τρόπων (κεφ. Α, Β, Γ). Για τους μαθητές οι οποίοι δε δύνανται αιτιολογημένα να μεταφερθούν με τη διαδικασία του παρόντος άρθρου ακολουθείται η διαδικασία του άρθρου 3.
2.Η διαδικασία μεταφοράς μαθητών οργανώνεται με βάση τα στοιχεία των μαθητών του τρέχοντος έτους καθώς και τις αναμενόμενες αποχωρήσεις και νέες εγγραφές.
3.Η διαδικασία της μεταφοράς μαθητών μπορεί να οργανώνεται και ανά περιφερειακή ενότητα.
4.Για τους μαθητές οι οποίοι λόγω της διάρθρωσης του προγράμματος σπουδών προσέρχονται ή αποχωρούν σε διαφορετικές ώρες από τους υπολοίπους, θεωρείται ότι υφίσταται συμπληρωματική ανάγκη αντιμετώπισης της μεταφοράς τους, ανεξάρτητα από τον τρόπο μεταφοράς τους, εφόσον υποχρεώνονται να περιμένουν περισσότερο των εξήντα (60) λεπτών έως το επόμενο δρομολόγιο.
5.Αρμόδια περιφέρεια για τη μεταφορά μαθητών ανεξαρτήτως του τόπου κατοικίας και του τρόπου μεταφοράς τους (κεφ. Α, Β, Γ) θεωρείται η περιφέρεια εντός των ορίων της οποίας βρίσκεται το σχολείο στο οποίο οι μαθητές μεταφέρονται.
ΚΕΦΑΛΑΙΟ Α:
Μεταφορά μαθητών με δημόσια συγκοινωνία
1.Οι Περιφέρειες μεταφέρουν τους μαθητές, οι οποίοι πληρούν τις προϋποθέσεις του προηγούμενου άρθρου με δημόσια αστική και υπεραστική συγκοινωνία ή με δημοτική συγκοινωνία. Ως δημόσια συγκοινωνία νοούνται τα αστικά και υπεραστικά μέσα όπως η Ο.ΣΥ. Α.Ε., ο Ο.Α.Σ.Θ., τα Κ.Τ.Ε.Λ., τα τρένα και λεωφορεία του Ο.Σ.Ε. όπως επίσης και τα θαλάσσια συγκοινωνιακά μέσα.
2.Οι μαθητές οι οποίοι μεταφέρονται δωρεάν με τη δημόσια αστική και υπεραστική συγκοινωνία εφοδιάζονται με ΕΜΔ η μορφή του οποίου περιέχει υποχρεωτικά κατ’ ελάχιστον τις ακόλουθες πληροφορίες:
«ΕΙΔΙΚΟ ΜΑΘΗΤΙΚΟ ΔΕΛΤΙΟ ΙΣΧΥΕΙ ΓΙΑ ΤΟ ΣΧΟΛΙΚΟ ΕΤΟΣ 201…201…. | |
| ΦΩΤΟΓΡΑΦΙΑΤ.Σ.
| Συγκοινωνιακός Φορέας ……………………….Ειδικό Μαθητικό Δελτίο Νο…………………… ΕΠΩΝΥΜΟ:…………………………………………….. ΟΝΟΜΑ:………………………………………………….. ΟΝΟΜΑ ΠΑΤΕΡΑ:…………………………………… ΣΧΟΛΕΙΟ:………………………………………………. ΤΑΞΗ ………………………Α.Μ.Μ………………….. ΠΕΡΙΓΡΑΦΗ ΔΙΑΔΡΟΜΗΣ:…………………….. ΔΙΑΔΡΟΜΗ ΜΟΝΗ:………………………………… ΔΙΑΔΡΟΜΗ ΜΕΤ’ ΕΠΙΣΤΡΟΦΗΣ………………
|
| Ο ΔΙΕΥΘΥΝΤΗΣ ΤΟΥ ΣΧΟΛΕΙΟΥ | Ο ΠΡΟΕΔΡΟΣ ΤΟΥ ΣΥΓΚΟΙΝΩΝΙΑΚΟΥ ΦΟΡΕΑ» |
3.Η αξία του ΕΜΔ υπολογίζεται στο ύψος του 50% της τιμής του κανονικού εισιτηρίου της διαδρομής (μονή ή μετ’ επιστροφής) της οποίας κάνει χρήση ο μαθητής.
Ως μονή διαδρομή ορίζεται είτε η διαδρομή του μαθητή από το σημείο επιβίβασης στο μεταφορικό μέσο έως την έδρα της σχολικής μονάδας, είτε η διαδρομή από την έδρα της σχολικής μονάδας προς το σημείο αποβίβασης.
Ως διαδρομή μετ’ επιστροφής ορίζεται η διαδρομή του μαθητή από το σημείο επιβίβασης έως την έδρα της σχολικής μονάδας και την επιστροφή του από την έδρα της σχολικής μονάδας στο σημείο αποβίβασης.
Σε περίπτωση όπου ο συγκοινωνιακός φορέας δεν είναι το ΚΤΕΛ, αλλά εκμεταλλευτής μικροσυγκοινωνίας ή θαλάσσιο μεταφορικό μέσο, η αξία του ΕΜΔ υπολογίζεται στο ολόκληρο της τιμής του εισιτηρίου. Οι μαθητές σε κάθε περίπτωση δεν επιβαρύνονται με την καταβολή οιουδήποτε κομίστρου. Τα ΕΜΔ αναγράφουν στο πεδίο «Διαδρομή» εάν είναι μονή ή μετ’ επιστροφής, ώστε να αποζημιώνονται ανάλογα οι συγκοινωνιακοί φορείς. Σε περίπτωση που ο μαθητής που διαθέτει ΕΜΔ μονής διαδρομής και κάνει χρήση της διαδρομής μετ’ επιστροφή, τότε θα καταβάλλει ο ίδιος το 50% της τιμής του κανονικού εισιτηρίου για τη διαδρομή που δεν αναγράφεται στο ΕΜΔ. Η εκτύπωση των ΕΜΔ γίνεται με φροντίδα και δαπάνη της αρμόδιας Περιφέρειας.
Η αξία των ΕΜΔ μπορεί να υπολογίζεται και σε ύψος κατώτερο του 50% της τιμής του κανονικού εισιτηρίου εφόσον ο συγκοινωνιακός φορέας συναινεί προς τούτο. Στους δικαιούχους δωρεάν μεταφοράς μαθητές αντί των ΕΜΔ μπορούν να χορηγούνται κάρτες απεριορίστων διαδρομών για τη διάρκεια του σχολικού έτους με την υπογραφή σχετικής σύμβασης μεταξύ του συγκοινωνιακού φορέα και της Περιφέρειας και κόστος κατώτερο της μεταφοράς τους από και προς τη σχολική μονάδα σύμφωνα με τη διαδικασία των ΕΜΔ.
4.Η συμπλήρωση, θεώρηση και χορήγηση των ΕΜΔ στους δικαιούχους μαθητές γίνεται από την αρμόδια Διεύθυνση Πρωτοβάθμιας ή Δευτεροβάθμιας Εκπαίδευσης στην αρχή κάθε διδακτικού έτους, σύμφωνα με τις καταστάσεις των μαθητών που θα μεταφερθούν με δημόσια συγκοινωνία, τις οποίες αποστέλλει η Περιφέρεια. Τα ΕΜΔ, πριν τη χορήγησή τους, θεωρούνται από τον αρμόδιο συγκοινωνιακό φορέα ή από τον εκμεταλλευτή μικροσυγκοινωνίας, ή του πλησιέστερου σταθμού του ΟΣΕ, ή της πλησιέστερης λιμενικής αρχής κατά περίπτωση.
5.Το ΕΜΔ ισχύει μόνο κατά τις μέρες και ώρες λειτουργίας του σχολείου, καθ’ όλη τη διάρκεια του σχολικού έτους, για όλα τα απαραίτητα συγκοινωνιακά μέσα για τη μετάβαση ή και επιστροφή του μαθητή και χρησιμοποιείται αποκλειστικά από τον κάτοχό του.
6.Σε περίπτωση αποδεδειγμένης καταστροφής ή απώλειας του ΕΜΔ κατά τη διάρκεια του διδακτικού έτους εκδίδεται νέο ΕΜΔ.
7.Μετά τη λήξη των μαθημάτων, ή των εξετάσεων κάθε σχολικού έτους, ή μετά τη λήξη των εισαγωγικών εξετάσεων για πρόσβαση στα ιδρύματα τριτοβάθμιας εκπαίδευσης, τα ΕΜΔ κατατίθενται υποχρεωτικά από τους κατόχους τους στο διευθυντή του σχολείου ο οποίος μεριμνά για την καταστροφή τους. Σε κάθε περίπτωση οι αρμόδιες Διευθύνσεις Πρωτοβάθμιας ή Δευτεροβάθμιας Εκπαίδευσης ενημερώνουν τους συγκοινωνιακούς φορείς για το πέρας του σχολικού έτους.
8.Μαθητές οι οποίοι είναι κάτοχοι ΕΜΔ και διακινούνται τις ημέρες ή ώρες μη λειτουργίας των σχολείων υποχρεούνται να καταβάλουν το 50% της κανονικής τιμής του εισιτηρίου της διαδρομής που διανύουν, σύμφωνα με τις διατάξεις του άρθρου 2 του β.δ 306/1973 (ΦΕΚ Α’ 90).
9.Στην περίπτωση διακοπής του δικαιώματος δωρεάν μεταφοράς του μαθητή στο σχολείο, ο διευθυντής τροποποιεί τις αντίστοιχες καταστάσεις που υποβάλλει στην Περιφέρεια, ενημερώνοντας παράλληλα τον οικείο συγκοινωνιακό φορέα, και επιστρέφει το ΕΜΔ στην Περιφέρεια.
ΚΕΦΑΛΑΙΟ Β:
Μεταφορά μαθητών με ίδια μέσα των Περιφερειών και των Δήμων
1.Προϋποθέσεις
Οι μαθητές μεταφέρονται από τις Περιφέρειες και τους Δήμους με τη χρήση των ιδιόκτητων μεταφορικών τους μέσων, εφόσον τα οχήματα τα οποία διαθέτουν μπορούν να χρησιμοποιηθούν για το σκοπό αυτό. Οι Ο.Τ.Α. Α’ και Β’ βαθμού αποστέλλουν κατάλογο με τα κατάλληλα μέσα για την εξυπηρέτηση του έργου της μεταφοράς, ενώ προσδιορίζουν και βεβαιώνουν τα διαθέσιμα μέσα στην αρμόδια υπηρεσία της Περιφέρειας για την οργάνωση της μεταφοράς μαθητών μέχρι τις 31 Δεκεμβρίου κάθε έτους. Τα στοιχεία αυτά επικαιροποιουνται μετά από αίτημα της αρμόδιας υπηρεσίας της Περιφέρειας. Με τα μέσα αυτά δεν επιτρέπεται η μεταφορά όρθιων μαθητών, άλλως επιβάλλονται οι σχετικές κυρώσεις του Κ.Ο.Κ. (ν. 2696/1999, όπως τροποποιήθηκε και ισχύει). Εφόσον τα ίδια μέσα πληρούν τις προδιαγραφές προσβασιμότητας για την ασφαλή επιβίβαση-αποβίβαση και μεταφορά, μεταφέρονται κατά σειρά προτεραιότητας οι μαθητές των ΣΜΕΑΕ, ακολούθως οι μαθητές Πρωτοβάθμιας και τέλος οι μαθητές Δευτεροβάθμιας Εκπαίδευσης.
2.Υπολογισμός αποζημίωσης ίδιων μέσων
Στην περίπτωση του παρόντος (Β) κεφαλαίου για τα δρομολόγια αποκλειστικής εξυπηρέτησης μαθητών, οι Περιφέρειες ή οι Δήμοι των οποίων τα ίδια μέσα χρησιμοποιούνται για τη μεταφορά μαθητών, αποζημιώνονται με το 65% του ποσού, σύμφωνα με τους υπολογισμούς που προκύπτουν από το μαθηματικό τύπο του παραρτήματος.
ΚΕΦΑΛΑΙΟ Γ:
Μεταφορά μαθητών με δημόσια σύμβαση υπηρεσιών
1.Προϋποθέσεις
α. Εάν η μεταφορά των μαθητών είναι αδύνατη ή οικονομικά ασύμφορη από πλευράς κόστους με τη διαδικασία που προσδιορίζεται στα προηγούμενα κεφάλαια, η Περιφέρεια αναθέτει με δημόσιες συμβάσεις υπηρεσιών, σύμφωνα με τις προβλεπόμενες από τις διατάξεις του ν. 4412/2016, τη μεταφορά των μαθητών με κάθε κατάλληλο μεταφορικό μέσο δημόσιας χρήσης που να πληροί τους όρους ασφαλούς μεταφοράς. Ειδικώς, για τα ΕΔΧ οχήματα τηρείται το ισχύον θεσμικό πλαίσιο περί της έδρας-διοικητικής μονάδας.
β. Οι όροι της διακήρυξης του σχετικού διαγωνισμού πρέπει αφενός να αποσκοπούν στη μέγιστη δυνατή συμπίεση του κόστους μεταφοράς των μαθητών και αφετέρου στη βελτίωση των συνθηκών μεταφοράς τους και κατατείνουν στη διασφάλιση της ελεύθερης κυκλοφορίας των υπηρεσιών και στην προαγωγή του ανόθευτου ανταγωνισμού μεταξύ κατάλληλων να προσφέρουν τη δημοπρατούμενη υπηρεσία οικονομικών φορέων.
γ. Στα μισθωμένα λεωφορεία που μεταφέρουν μαθητές Πρωτοβάθμιας εκπαίδευσης κατ’ ελάχιστον μέχρι και τη Β’ Δημοτικού, καθώς και μαθητές ΣΜΕΑΕ Πρωτοβάθμιας και Δευτεροβάθμιας Εκπαίδευσης, η ύπαρξη συνοδού είναι υποχρεωτική. Για τους μαθητές ΣΜΕΑΕ που μεταφέρονται με Ε.Δ.Χ. όχημα, η ύπαρξη συνοδού δεν είναι υποχρεωτική και η απόφαση για την ύπαρξή του λαμβάνεται από την Αναθέτουσα Αρχή, έπειτα από εισήγηση του Διευθυντή του σχολείου.
2.Κανόνες διαδικασίας σύναψης και εκτέλεσης σύμβασης
Η διαδικασία σύναψης, η εποπτεία και η παρακολούθηση της σύμβασης διενεργούνται με βάση τις ισχύουσες διατάξεις του ν. 4412/2016.
α. Ο διαγωνισμός προκηρύσσεται κατ’ ελάχιστον έξι μήνες πριν την έναρξη των δρομολογίων με βάση τα στοιχεία της παρ. 1.β. του άρθρου 5.
β. Η διάρκεια της σύμβασης ορίζεται από ένα (1) έως τρία (3) έτη αρχής γενομένης από την έναρξη του σχολικού έτους αφετηρίας. Οι προσφορές των υποψηφίων αναδόχων υποβάλλονται ανά τμήμα το οποίο συνίσταται από ένα ή περισσότερα δρομολόγια μονής διαδρομής ή μετ’ επιστροφής με ποσοστό έκπτωσης επί τοις εκατό (%) σε ακέραιες μονάδες. Ένα ή περισσότερα τμήματα μπορούν να συνιστούν ομάδες δρομολογίων.
γ. Ο σχεδιασμός των δρομολογίων πρέπει να λαμβάνει υπόψη:
γ.1) τη δυνατότητα εξυπηρέτησης περισσότερων της μίας σχολικής μονάδας από κάθε δρομολόγιο,
γ.2) τη δυνατότητα εξυπηρέτησης ταυτόχρονα των σχολικών μονάδων Πρωτοβάθμιας και Δευτεροβάθμιας Εκπαίδευσης,
γ.3) την όσο το δυνατόν αποτελεσματικότερη χρήση κοινών μεταφορικών μέσων, δεδομένης της χωρητικότητας του μεταφορικού μέσου, ούτως ώστε να αποφεύγεται η διέλευση περισσότερων του ενός μεταφορικών μέσων από τον ίδιο οδικό άξονα για μεγάλη απόσταση, όπου αυτό είναι εφικτό. Δεν είναι επιτρεπτή η μεταφορά όρθιων μαθητών, όπως επίσης και η μεταφορά τρίτων επιβατών με δημόσια σύμβαση υπηρεσιών, άλλως συντρέχει περίπτωση αθέτησης συμβατικών υποχρεώσεων και ταυτόχρονα επιβάλλονται οι σχετικές κυρώσεις,
γ.4) την ομαδοποίηση των μαθητών, οι οποίοι κατοικούν εντός του ίδιου οικισμού, σε συγκεκριμένα σημεία επιβίβασης και αποβίβασης εντός του οικισμού, ούτως ώστε να προκύπτουν λιγότερες στάσεις, κατά προτίμηση επί του οδικού άξονα πραγματοποίησης του δρομολογίου.
δ. Ο αριθμός των μεταφερόμενων μαθητών ανά δρομολόγιο καθορίζει και το προσφορότερο είδος μεταφορικού μέσου (λεωφορείο, μικρό λεωφορείο, Ε.Δ.Χ. όχημα) σύμφωνα με τα οριζόμενα στο παράρτημα της παρούσας. Το προσφορότερο είδος μεταφορικού μέσου αποτελεί τη βάση υπολογισμού της μέγιστης αποζημίωσης ανά δρομολόγιο, χωρίς όμως να αποτελεί ταυτόχρονα στοιχείο απόρριψης της συμμετοχής ενδιαφερομένωνκατόχων άλλων μέσων.
ε. Το μεταφορικό έργο το οποίο διενεργείται με τα μέσα της προηγούμενης περίπτωσης (δ) και αναφέρεται σε δρομολόγια για την εκτέλεση των οποίων προσφορότερα μέσα σύμφωνα με τα ως άνω οριζόμενα θεωρούνται τα μικρά και τα μεγάλα λεωφορεία προκηρύσσεται ως εξής:
ε.1). Τα δρομολόγια μεταφοράς μαθητών με δημόσια σύμβαση υπηρεσιών εντός κάθε αστικής περιοχής που έχει οριστεί κατά τη διαδικασία του άρθρου 7 του ν. 2963/2001, εντάσσονται σε μία ή και περισσότερες ομάδες δρομολογίων, ενώ επιτρέπεται η προκήρυξη διαγωνισμού για μεμονωμένα δρομολόγια χωρίς να εντάσσονται σε ομάδα δρομολογίων. Σε κάθε περίπτωση λαμβάνονται υπόψη κριτήρια οικονομικότητας, ασφάλειας και εξασφάλισης συνθηκών γνήσιου ανταγωνισμού.
ε.2) Τα υπόλοιπα δρομολόγια μεταφοράς μαθητών με δημόσια σύμβαση υπηρεσιών, συμπεριλαμβανομένων και αυτών που τμήμα τους διενεργείται εντός των αστικών περιοχών, εντάσσονται σε δύο ή περισσότερες ομάδες δρομολογίων, ενώ επιτρέπεται η προκήρυξη διαγωνισμού για μεμονωμένα δρομολόγια χωρίς να εντάσσονται σε ομάδα δρομολογίων. Κάθε ομάδα συγκροτείται από τα δρομολόγια που εκτελούνται εντός των γεωγραφικών ορίων ενός τουλάχιστον δήμου. Σε κάθε περίπτωση λαμβάνονται υπόψη κριτήρια οικονομικότητας, ασφάλειας και εξασφάλισης συνθηκών γνήσιου ανταγωνισμού.
ε.3) Η υποδιαίρεση των συμβάσεων υπό τη μορφή χωριστών ομάδωντμημάτων από την αναθέτουσα αρχή, σύμφωνα με το άρθρο 59 του ν. 4412/2016, θα πρέπει να συμβάλλει στην ενίσχυση και διεύρυνση του υγιούς ανταγωνισμού μέσω της προώθησης της πρόσβασης και της διευκόλυνσης της συμμετοχής όσο το δυνατόν περισσότερων οικονομικών φορέων. Τα προβλεπόμενα από τις διατάξεις του άρθρου 75 του ν. 4412/2016 κριτήρια επιλογής για την καταλληλότητα των υποψηφίων εφαρμόζονται σε υποβάλλοντες προσφορά, σε κάθε επιμέρους τμήμα μιας υποδιαιρούμενης σε τμήματα σύμβασης που αναθέτει η Περιφέρεια.
ε.4) Το μεταφορικό έργο, το οποίο θεωρείται προσφορότερο να διενεργηθεί με Ε.Δ.Χ. όχημα, προκηρύσσεται ανά δρομολόγιο μονής διαδρομής ή μετ’ επιστροφής.
στ. Στο διαγωνισμό προβλέπονται δικαιώματα προαίρεσης, που καθορίζονται ως εξής: στ.1) Ποσοστό προαίρεσης που καθορίζεται σύμφωνα με τον προϋπολογισμό της κάθε Περιφέρειας και αναγράφεται σαφώς και ρητά στην προκήρυξη και τη διακήρυξη του διαγωνισμού, για την τροποποίηση των υφιστάμενων δρομολογίων (δηλαδή μείωση ή αύξηση των χιλιομέτρων των δρομολογίων ή μερική αλλαγή διαδρομής που οφείλεται στην ανάγκη να εξυπηρετηθούν νέοι μαθητές κατά τη διάρκεια της εκτέλεσης της σύμβασης ή σε κάποια απρόβλεπτη ανάγκη π.χ. εκτέλεση δημόσιων έργων επί οδοστρωμάτων), όπως και για την ύπαρξη συνοδού, όποτε προκύπτει ανάγκη κατά τη διάρκεια εκτέλεσης της σύμβασης.
Η επιφύλαξη περί ασκήσεως του δικαιώματος προαιρέσεως, όπως και η δυνατότητα διακοπής της σύμβασης λόγω κατάργησης δρομολογίου πρέπει να αναφέρεται ρητά στην προκήρυξη και στην αναλυτική διακήρυξη του διαγωνισμού. Σε κάθε περίπτωση, εφαρμοστέες είναι οι σχετικές διατάξεις του ν. 4412/2016 περί εκτέλεσης δημοσίων συμβάσεων γενικών υπηρεσιών.
στ.2) Δυνατότητα χρονικής παράτασης του αντικειμένου της σύμβασης για διάστημα μέχρι πέντε (5) μήνες, με αντίστοιχη αύξηση του συμβατικού αντικειμένου, μέχρι την ολοκλήρωση του επόμενου διαγωνισμού μεταφοράς μαθητών. Η δυνατότητα παράτασης της διάρκειας της σύμβασης πρέπει να αναφέρεται ρητά στην προκήρυξη και τη διακήρυξη του διαγωνισμού.
Οι διαδικασίες του διαγωνισμού καθορίζονται λαμβανομένου υπόψη και του ποσού της προαίρεσης, η αξία του οποίου λαμβάνεται υπόψη για τον υπολογισμό της συνολικής εκτιμώμενης αξίας της δημόσιας σύμβασης.
Σε κάθε περίπτωση, οι τροποποιήσεις των συμβάσεων κατά τη διάρκεια τους διέπονται από τις ρυθμίσεις του άρθρου 132 του ν. 4412/2016.
ζ. Για την ανάθεση των συμβάσεων μεταφοράς μαθητών οι Περιφέρειες μπορούν να προσφεύγουν στις διαδικασίες των άρθρων 27, 28, 29, 32, 117 και 118 του ν. 4412/2016.
Επίσης ανάλογα με το είδος, το μέγεθος και τα χαρακτηριστικά των παρεχόμενων υπηρεσιών, καθώς και τη χρονική διάρκεια αυτών, οι Περιφέρειες δύνανται να συνάπτουν συμβάσεις μεταφοράς μαθητών στο πλαίσιο δυναμικού συστήματος αγορών ή συμφωνίαςπλαίσιο με βάσει τις προβλέψεις των άρθρων 33 και 39 του ν. 4412/2016 αντίστοιχα.
3.Υπολογισμός αποζημίωσης μεταφορικών μέσων α. Ο υπολογισμός της μέγιστης αποζημίωσης των μεταφορικών μέσων σε περίπτωση μίσθωσης αυτών κατόπιν δημοσίας σύμβασης παροχής υπηρεσιών γίνεται με βάση τον αριθμό των μονών δρομολογίων ή των δρομολογίων μετ’ επιστροφής που απαιτούνται, σύμφωνα με τα προβλεπόμενα του παραρτήματος της παρούσας. Οι αναθέτουσες αρχές, λαμβάνοντας υπόψη τις τοπικές συνθήκες, την τμηματοποίηση της σύμβασης, αλλά και τον ανταγωνισμό μπορούν να κοστολογούν τα δρομολόγια σε μικρότερες από τις οριζόμενες, σύμφωνα με τους μαθηματικούς τύπους του Παραρτήματος, μέγιστες τιμές.
β. Για τυχόν τροποποίηση των αρχικών δρομολογίων της διακήρυξης κατόπιν ασκήσεως δικαιώματος προαίρεσης, σύμφωνα με τα οριζόμενα στο άρθρο 2, κεφ. Γ, παρ. 2.στ.1), ο υπολογισμός της αποζημίωσης γίνεται σύμφωνα με τα προβλεπόμενα του παραρτήματος της παρούσας, λαμβάνοντας υπόψη και την έκπτωση της προσφοράς του αναδόχου του συγκεκριμένου τμήματος του διαγωνισμού στο οποίο εντάσσεται το κάθε δρομολόγιο.
γ. Οι Περιφέρειες, πέραν του ποσού της σύμβασης, δεν υποβάλλονται σε καμία άλλη οικονομική επιβάρυνση έναντι του αναδόχου.
Άρθρο 3
Επιδότηση μαθητών
1.Αν η μεταφορά των μαθητών κατά τις διατάξεις του άρθρου 2 δεν είναι εφικτή ή κρίνεται οικονομικά ασύμφορη από πλευράς κόστους και οι μαθητές:
α. έχουν εγκατασταθεί σε άλλη κατοικία πλησίον του σχολείου τους, αποκλειστικά και μόνο με σκοπό τη φοίτησή τους στην εν λόγω σχολική μονάδα, χορηγείται μηνιαίο επίδομα 85 €. Σε περίπτωση όπου μαθητές, μέλη της ίδιας οικογένειας, εγκαθίστανται στην έδρα του σχολείου τους, το μηνιαίο επίδομα καταβάλλεται για κάθε μαθητή χωριστά, β. μεταφέρονται με ευθύνη εκείνων που έχουν τη γονική μέριμνα ή των κατά νόμο επιτρόπων αυτών, χορηγείται επίδομα υπολογιζόμενο βάσει της χιλιομετρικής (μονής διαδρομής) απόστασης της κατοικίας από το σχολείο, με κόστος ίσο με 0,35 €/χιλιόμετρο και για τις ημέρες παρουσίας του μαθητή στο σχολείο. Το εν λόγω επίδομα δεν μπορεί να υπερβαίνει τα 1.500 € ανά μαθητή ανά σχολικό έτος, εξαιρουμένων των μαθητών ΣΜΕΑΕ. Σε περίπτωση όπου μαθητές, μέλη της ίδιας οικογένειας, οι οποίοι φοιτούν στην ίδια σχολική μονάδα ή σε σχολικές μονάδες με κοινή έδρα, μεταφέρονται με ευθύνη των γονέων ή των νομίμων επιτρόπων τους, το επίδομα καταβάλλεται μία φορά, ανεξάρτητα από τον αριθμό των μεταφερομένων μαθητών μελών της ιδίας οικογένειας.
2.Τα επιδόματα χορηγούνται από Σεπτέμβριο έως και Ιούνιο και καταβάλλονται από την οικεία Περιφέρεια σ’ εκείνους που έχουν τη γονική μέριμνα ή στους κατά νόμο επιτρόπους αυτών, ή στους ίδιους τους μαθητές εάν αυτοί έχουν ενηλικιωθεί και εφόσον οι επιδοτούμενοι φοιτούν στο σχολείο που είναι υποχρεωμένοι όπως βεβαιώνεται από την αρμόδια Διεύθυνση Πρωτοβάθμιας ή Δευτεροβάθμιας Εκπαίδευσης. Τα επιδόματα μπορούν να χορηγούνται προσωρινά, μέχρι να ολοκληρωθεί τόσο ο διαγωνισμός όσο και οι άλλες διαδικασίες ανάθεσης της μεταφοράς των μαθητών.
3.Τα ανωτέρω επιδόματα των περιπτώσεων 1α και 1β δεν μπορούν να καταβάλλονται ταυτόχρονα στον ίδιο μαθητή.
Άρθρο 4
Συντονισμός και υποστήριξη της διαδικασίας μεταφοράς
1.Στο Υπουργείο Εσωτερικών συγκροτείται Συντονιστική Ομάδα Διοίκησης Έργου (ΣΟΔΕ) αποτελούμενη από έναν συντονιστή του γραφείου του Υπουργού και έναν υπάλληλο του ανωτέρω Υπουργείου, έναν υπάλληλο του Υπουργείου Οικονομικών, έναν υπάλληλο του Υπουργείου Υποδομών και Μεταφορών, έναν υπάλληλο του Υπουργείου Παιδείας, Έρευνας και Θρησκευμάτων, και έναν εκπρόσωπο της Ένωσης Περιφερειών με τους αναπληρωτές τους. Η ΣΟΔΕ συνεδριάζει τουλάχιστον δύο (2) φορές ανά έτος.
Εφόσον απαιτείται, είναι δυνατή η προσθήκη μελών στην ΣΟΔΕ καθώς και η κλήση εμπειρογνωμόνων.
Έργο της ΣΟΔΕ είναι:
α. Η παρακολούθηση του έργου της μεταφοράς μαθητών σε εθνικό επίπεδο και η παροχή διευκρινήσεων ως προς την ερμηνεία της σχετικής νομοθεσίας.
β. Η εισήγηση προς τους αρμόδιους Υπουργούς προτάσεων για τη βελτίωση του έργου της μεταφοράς μαθητών.
γ. Ο έλεγχος και η αξιολόγηση των απολογιστικών στοιχείων ανά Περιφέρεια.
2.Στην Περιφέρεια με απόφαση Περιφερειάρχη συγκροτείται Περιφερειακή Ομάδα Διοίκησης Έργου (ΠΟΔΕ) για το συντονισμό και την παρακολούθηση της μεταφοράς μαθητών σε περιφερειακό επίπεδο, αποτελούμενη από έναν συντονιστή οριζόμενο από τον Περιφερειάρχη και μέλη εκπροσώπους των εμπλεκόμενων με τη μεταφορά μαθητών υπηρεσιών των Περιφερειακών Ενοτήτων, της Περιφερειακής Διεύθυνσης Πρωτοβάθμιας και Δευτεροβάθμιας Εκπαίδευσης και της Περιφερειακής Ένωσης Δήμων. Η ΠΟΔΕ συγκροτείται υποχρεωτικά εντός εξαμήνου από την έκδοση της παρούσας και συνεδριάζει τουλάχιστον δύο (2) φορές ανά έτος.
Έργο της ΠΟΔΕ είναι:
α. Ο συντονισμός των δράσεων των Περιφερειακών Ενοτήτων.
β. Η διεξαγωγή δειγματοληπτικών ελέγχων για την καλή εκτέλεση των έργου της μεταφοράς μαθητών, σε συνεργασία με τους αρμόδιους φορείς.
γ. Η ανάληψη πρωτοβουλιών για τη βελτίωση του έργου της μεταφοράς μαθητών καθώς και η επίλυση των προβλημάτων της μεταφοράς μαθητών σε περιφερειακό επίπεδο.
δ. Η εισήγηση προτάσεων αναφορικά με το έργο μεταφοράς μαθητών προς την Συντονιστική Ομάδα Διοίκησης Έργου (ΣΟΔΕ).
Εκπρόσωπος από την κάθε ΠΟΔΕ ορίζεται ως σημείο επαφής για την επικοινωνία με τη Συντονιστική Ομάδα Διοίκησης Έργου (ΣΟΔΕ).
Εφόσον απαιτείται, είναι δυνατή η προσθήκη μελών στην ΠΟΔΕ καθώς και η κλήση εμπειρογνωμόνων και εκπροσώπων φορέων ανάλογα με το θέμα συζήτησης.
Άρθρο 5
Αρμόδια όργανα
Ως αρμόδια όργανα για την πραγματοποίηση των προβλεπόμενων ενεργειών της παρούσας είναι τα εξής:
1.Ο Διευθυντής της σχολικής μονάδας:
α. βεβαιώνει τους δικαιούχους μεταφοράς μαθητές, κατόπιν εξακρίβωσης της απόστασης της παρ. 1 του άρθρου 1. Σε περίπτωση κατά την οποία η διεύθυνση κατοικίας είναι ασαφής ή αμφισβητήσιμη, η τεχνική υπηρεσία του Δήμου όπου κατοικεί ο μαθητής βεβαιώνει με γεωαναφορά τον τόπο κατοικίας του καθώς και την απόσταση από το σχολείο φοίτησης. Κατά τον υπολογισμό της απόστασης, λαμβάνεται υπόψη η συντομότερη και ασφαλέστερη ενδεδειγμένη πεζή διαδρομή του τόπου κατοικίας των μαθητών από την είσοδο της σχολικής μονάδας στην οποία φοιτούν, β. διαβιβάζει προς στην Περιφέρεια και κοινοποιεί στην οικεία Δ/νση Εκπαίδευσης έως και την 31η Ιανουαρίου κατάσταση των εκτιμώμενων δικαιούχων μεταφοράς μαθητών του επόμενου σχολικού έτους, βασιζόμενος στα στοιχεία των μαθητών του τρέχοντος έτους καθώς και στην πρόβλεψη για τις αναμενόμενες αποχωρήσεις και νέες εγγραφές. Στην ανωτέρω κατάσταση περιλαμβάνονται το ονοματεπώνυμο, η διεύθυνση κατοικίας και η απόσταση από τη σχολική μονάδα σε χιλιόμετρα με προσέγγιση, τουλάχιστον, πρώτου δεκαδικού ψηφίου. Με την έναρξη του σχολικού έτους και κατά τη διάρκεια αυτού την επικαιροποιεί σύμφωνα με τις νέες εγγραφές και αποχωρήσεις μαθητών. Η πιστοποίηση του τόπου κατοικίας του μαθητή για τον υπολογισμό της απόστασης, γίνεται με προσκόμιση λογαριασμού κοινής ωφέλειας στο όνομα του κηδεμόνα του μαθητή ή του κατά νόμο επιτρόπου αυτού. Στην περίπτωση της επιδότησης μαθητών (άρθρο 3), η πιστοποίηση του τόπου κατοικίας του μαθητή, γίνεται και με την προσκόμιση φωτοαντιγράφου του πίνακα 1 της τελευταίας φορολογικής δήλωσης του γονέα/των γονέων του παιδιού ή του κατά νόμο επιτρόπου του, όπου αναφέρονται τα προσωπικά στοιχεία του (ονοματεπώνυμο και διεύθυνση κατοικίας), γ. βεβαιώνει τον αριθμό των διατεθέντων ειδικών μαθητικών δελτίων (ΕΜΔ), δ. βεβαιώνει την πραγματοποίηση της καθημερινής μεταφοράς μαθητών, σύμφωνα με τα κεφ. Β και Γ του άρθρου 2 της παρούσας.
2.Η Περιφέρεια είναι αρμόδια:
α. για την πιστοποίηση της καταλληλότητας των ίδιων μεταφορικών μέσων, Δήμων και Περιφερειών του κεφ. Β του άρθρου 2 της παρούσας και σύμφωνα με τις προδιαγραφές ασφαλείας όπως κάθε φορά ισχύουν, β. για την τελική κατάρτιση των απαιτούμενων δρομολογίων για τη μεταφορά μαθητών, με ανάλυση των στοιχείων των δικαιούχων μεταφοράς μαθητών που λαμβάνει από τις αρμόδιες Διευθύνσεις Πρωτοβάθμιας ή Δευτεροβάθμιας Εκπαίδευσης, και ιδιαίτερα για την κοστολόγησή τους, σύμφωνα με την παράγραφο 2 του κεφ. Β και τις παραγράφους 2 και 3 του κεφ. Γ, του άρθρου 2 της παρούσας, καθώς και την ακρίβεια των στοιχείων που περιλαμβάνονται σ’ αυτήν, γ. για τη βεβαίωση του τρόπου μεταφοράς των μαθητών σύμφωνα με τα κεφ. Α, Β, Γ, του άρθρου 2 της παρούσας. Σε περίπτωση παρέκκλισης της σειράς προτεραιότητας των τρόπων μεταφοράς αναγράφεται στην εν λόγω βεβαίωση η τεκμηριωμένη αιτιολόγηση του επιλεγμένου τρόπου μεταφοράς για λόγους οικονομικότητας, δ. για τη βεβαίωση των μαθητών οι οποίοι δικαιούνται το επίδομα του άρθρου 3, ε. για την πιστοποίηση τήρησης των προδιαγραφών προσβασιμότητας των μεταφορικών μέσων που χρησιμοποιούνται για τη μεταφορά μαθητών AMEA, ανεξαρτήτως σχολείου φοίτησης, στ. για τη διενέργεια δειγματοληπτικών ελέγχων για την ορθή εκτέλεση των συμβάσεων μεταφοράς μαθητών.
Η αρμόδια για την παρακολούθηση της εκτέλεσης της σύμβασης υπηρεσία ορίζει με απόφασή της, ως επόπτη, υπάλληλό της, με καθήκοντα που ορίζονται σύμφωνα με τις διατάξεις του άρθρου 216 του ν. 4412/2016.
3.Οι Δήμοι και οι Περιφέρειες κατά περίπτωση είναι αρμόδιοι για τη βεβαίωση της δυνατότητας ή μη της χρήσης των ίδιων μεταφορικών μέσων που μπορούν να διαθέσουν για τη μεταφορά μαθητών, σύμφωνα με το κεφ. Β του άρθρου 2 της παρούσας, όπως και για τη βεβαίωση ύπαρξης ή μη των γραμμών της δημοτικής ή δημόσιας συγκοινωνίας και τα δρομολόγια αυτών, τα οποία εξυπηρετούν τους μαθητές, καθώς και τις στάσεις επιβίβασης και αποβίβασης εκάστου, όπως προκύπτει από σχετικό έγγραφο της αρμόδιας διεύθυνσης.
4.Οι Διευθυντές Π/βάθμιας και Δ/βάθμιας Εκπαίδευσης, ως διοικητικοί προϊστάμενοι των σχολικών μονάδων, είναι αρμόδιοι για τη διενέργεια δειγματοληπτικών ελέγχων σχετικά με:
α. την ορθή καταχώρηση των στοιχείων των μαθητών που δικαιούνται τη δωρεάν μεταφορά, β. τη βεβαίωση της κανονικής διεξαγωγής του δρομολογίου,
γ. τη βεβαίωση της έγκαιρης μεταφοράς των μαθητών.
Άρθρο 6
Πανελλαδική εισαγωγή στοιχείων στην ηλεκτρονική πλατφόρμα my school
Η καταχώρηση και η επικαιροποίηση των στοιχείων δεδομένων των δικαιούχων μεταφοράς μαθητών πραγματοποιείται με ηλεκτρονικό τρόπο εντός σχετικών πεδίων της πλατφόρμας my school (https://myschool.sch.gr/) του Υπουργείου Παιδείας, Έρευνας και Θρησκευμάτων. Για την ορθή καταχώρηση των στοιχείων αυτών υπεύθυνοι είναι οι Διευθυντές σχολικών μονάδων. Οι Περιφέρειες έχουν τη δυνατότητα να αντλούν τα αναγκαία στοιχεία για τον προγραμματισμό και το σχεδιασμό των δρομολογίων μεταφοράς μαθητών.
Άρθρο 7
Καταβολή αποζημίωσης μεταφορικού έργου
Η καταβολή της δαπάνης για τη μεταφορά των μαθητών στους δικαιούχους διενεργείται από τις Περιφέρειες με βάση τα νόμιμα δικαιολογητικά.
Ειδικότερα για την καταβολή της αποζημίωσης:
α. για τις μεταφορές που διενεργούνται με δημόσια συγκοινωνία απαιτείται, πλέον των άλλων δικαιολογητικών, η βεβαίωση της παρ. 1.γ. του άρθρου 5 της παρούσας,
β. για τις μεταφορές που διενεργούνται με ίδια μέσα απαιτούνται, πλέον των άλλων δικαιολογητικών, βεβαίωση ότι τα ίδια μέσα είναι κατάλληλα, σύμφωνα με την παρ. 2 περ. α του άρθρου 5 και βεβαίωση μη ύπαρξης γραμμών δημοτικής ή δημόσιας συγκοινωνίας, βάσει της παρ. 3 του ιδίου άρθρου, από την οποία να προκύπτει η αναγκαιότητα του δρομολογίου με ίδια μέσα επειδή δεν υπάρχει αντίστοιχο δρομολόγιο με συγκοινωνιακό μέσο,
γ. για τις μεταφορές που διενεργούνται με δημόσια σύμβαση απαιτούνται, πλέον των άλλων δικαιολογητικών, βεβαίωση της παρ. 1 περίπτ. δ του άρθρου 5 (βεβαίωση διευθυντή ότι εκτελέστηκε η μεταφορά) και οι βεβαιώσεις, βάσει της παρ. 3 του ιδίου άρθρου, από τις οποίες να προκύπτει η αναγκαιότητα του δρομολογίου με σύμβαση επειδή δεν υπάρχει αντίστοιχο δρομολόγιο με συγκοινωνιακό μέσο (βεβαίωση μη ύπαρξης γραμμών δημοτικής ή δημόσιας συγκοινωνίας) και επειδή δεν υπάρχουν διαθέσιμα ίδια μέσα (βεβαίωση μη δυνατότητας χρήσης ιδίων μεταφορικών μέσων),
δ. για τις μεταφορές με συνοδό, απαιτείται ονομαστική κατάσταση των συνοδών ανά δρομολόγιο.
Στην περίπτωση παρέκκλισης της σειράς προτεραιότητας των οριζόμενων τρόπων μεταφοράς κατά την παρ. 1 του άρθρου 2, απαιτείται, πλέον των άλλων δικαιολογητικών, η βεβαίωση της παρ. 2γ του άρθρου 5.
Άρθρο 8
Απολογισμός μεταφορικού έργου
1.Οι Περιφέρειες υποχρεούνται μέχρι 31 Ιανουαρίου κάθε έτους να αποστέλλουν στην αρμόδια υπηρεσία για τον έλεγχο νομιμότητας των αποφάσεων των Ο.Τ.Α., τα παρακάτω στοιχεία του τρέχοντος σχολικού έτους:
α. πίνακες σε ηλεκτρονική μορφή λογιστικών φύλλων των δικαιούμενων μεταφοράς μαθητών, β. πίνακες σε ηλεκτρονική μορφή λογιστικών φύλλων, οι οποίοι περιέχουν τα στοιχεία των παραπάνω δρομολογίων (χιλιομετρική απόσταση μονού δρομολογίου, κόστος, μεταφορικό μέσο, σχολική μονάδα, αριθμό ετήσιων δρομολογίων, τρόπος μεταφοράς των κεφ. Α, Β, Γ του άρθρου 2 της παρούσας), καθώς και στοιχεία προέλευσης-προορισμού ανά κατηγορία, γ. χάρτες των πραγματοποιούμενων δρομολογίων οι οποίοι περιλαμβάνουν τις στάσεις επιβίβασης-αποβίβασης, εφόσον είναι διαθέσιμοι.
2.Οι Περιφέρειες υποχρεούνται να αποστέλλουν στις αρμόδιες υπηρεσίες του Υπουργείου Εσωτερικών, μία φορά το χρόνο, όπως και οποτεδήποτε τους ζητηθεί, τα παρακάτω στοιχεία, για όλη την προηγούμενη σχολική χρονιά ή/και για συγκεκριμένο χρονικό διάστημα (π.χ. τρίμηνο, εξάμηνο):
α. Το εκτιμώμενο και το πραγματικό κόστος του έργου της μεταφοράς μαθητών, όπως και τον αριθμό των μεταφερόμενων μαθητών ανά Περιφερειακή Ενότητα, τόσο συνολικά όσο και κατανεμημένο ανά τρόπο μεταφοράς, σύμφωνα με τους οριζόμενους τρόπους στο άρθρο 2 και άρθρο 3 της παρούσας.
β. Τον αριθμό των μεταφερόμενων μαθητών ανά κατηγορία εκπαίδευσης (Πρωτοβάθμια, Δευτεροβάθμια ΓΕΛ, ΕΠΑΛ, μουσικά σχολεία, ΣΜΕΑΕ).
γ. Τον αριθμό των μεταφερόμενων μαθητών ανά περίπτωση Α ή Β των χιλιομετρικών περιορισμών, όπως ορίζονται στο άρθρο 1 της παρούσας.
3.Η παράδοση των ανωτέρω (1 και 2) πραγματοποιείται μέσω τυποποιημένων εντύπων. Η υποβολή τους μπορεί να γίνεται και ηλεκτρονικά μέσω ειδικής εφαρμογής που δημιουργείται για το σκοπό αυτό. Οι Περιφέρειες αποστέλλουν τα εν λόγω στοιχεία οποτεδήποτε τους ζητηθεί από τα συναρμόδια Υπουργεία. Σε περίπτωση μη αποστολής των εν λόγω στοιχείων, παρότι αυτά έχουν ζητηθεί, η χρηματοδότηση του άρθρου 9 της παρούσας αναστέλλεται ή τροποποιείται ανάλογα.
4.Με εντολή του Υπουργού Εσωτερικών, βάσει των σχετικών διατάξεων του ν. 3852/2010, όπως ισχύει, η αρμόδια για τον έλεγχο νομιμότητας των αποφάσεων των Ο.Τ.Α. υπηρεσία προβαίνει σε έλεγχο των Περιφερειών χωρικής της αρμοδιότητας σχετικά με οποιοδήποτε ζήτημα τυχόν προκύψει, σύμφωνα με τα διαθέσιμα στοιχεία της διαδικασίας μεταφοράς μαθητών.
Άρθρο 9
Χρηματοδότηση μεταφοράς μαθητών
1.Οι δαπάνες μεταφοράς και επιδότησης των μαθητών βαρύνουν τους Κ.Α.Π. των δευτεροβάθμιων Ο.Τ.Α. στα όρια των οποίων βρίσκονται οι σχολικές μονάδες στις οποίες μεταφέρονται οι μαθητές.
2.Το συνολικό ποσό με το οποίο οι Περιφέρειες επιχορηγούνται σε ετήσια βάση από τους Κ.Α.Π. προκύπτει από το άθροισμα των επιμέρους ποσών για τη μεταφορά η οποία πραγματοποιείται με:
α. τα ειδικά μαθητικά δελτία σύμφωνα με το άρθρο 2, κεφ. Α,
β. τα ίδια μέσα των Περιφερειών και των Δήμων σύμφωνα με το άρθρο 2, κεφ. Β, γ. δημόσια σύμβαση παροχής υπηρεσιών σύμφωνα με το άρθρο 2, κεφ. Γ, δ. την επιδότηση του άρθρου 3, όπως προκύπτει από τη σχετική απόφαση της Περιφέρειας.
3.Εάν από τον απολογισμό του άρθρου 8 ή άλλο σχετικό έλεγχο προκύπτει μη σωστή εκτέλεση των διατάξεων της παρούσας απόφασης, η οποία αποβαίνει εις βάρος του δημοσίου συμφέροντος, η χρηματοδότηση του παρόντος άρθρου μπορεί να αναστέλλεται ή να προσαρμόζεται ανάλογα.
Άρθρο 10
Λοιπές διατάξεις για οδηγούς και συνοδούς μεταφορικών μέσων
1.Ιατρικός έλεγχος προσωπικού Ο προληπτικός ιατρικός έλεγχος των συνοδών για τη μεταφορά μαθητών, καθορίζεται από τις διατάξεις του άρθρου 3 της αριθμ. Υ1α/ΥΠ.ΟΙΚ.76785/12.10.2017 (ΦΕΚ 3758/τ.Β’/25-10-2017) απόφασης του Υπουργού Υγείας.
Οι οδηγοί των μεταφορικών μέσων πρέπει να είναι υγιείς (ικανοί για οδήγηση) με βάση τις ιατρικές εξετάσεις κατά την κείμενη σχετική νομοθεσία.
2.Ποινικό μητρώο
Οι υποψήφιοι για τη θέση των οδηγών και συνοδών του οχήματος πρέπει τόσο κατά το χρόνο λήξης της προθεσμίας υποβολής των αιτήσεων, όπως αυτή θα οριστεί με τη σχετική προκήρυξη, όσο και κατά το χρόνο του πρόσληψής τους:
α) να μην έχουν καταδικαστεί αμετάκλητα για κακούργημα,
β) να μην έχουν παραπεμφθεί σε δίκη για τα αδικήματα της βαριάς σωματικής βλάβης (ΠΚ 310), αρπαγής ανηλίκων (ΠΚ 324), ακούσιας απαγωγής (ΠΚ 327), προσβολής γενετήσιας αξιοπρέπειας (ΠΚ 337 παρ. 25), αποπλάνησης παιδιών (ΠΚ 339), κατάχρησης ανηλίκων σε ασέλγεια (ΠΚ 342), πορνογραφίας ανηλίκων (ΠΚ 348Α), προσέλκυσης παιδιών για γενετήσιους λόγους (ΠΚ 348Β), μαστροπείας (ΠΚ 349), εκμετάλλευσης πόρνης (ΠΚ 350), ασέλγειας με ανήλικο έναντι αμοιβής (ΠΚ 351Α) και εκβίασης (ΠΚ 385),
γ) να μην έχουν καταδικαστεί αμετάκλητα για παράβαση Κ.Ο.Κ, η οποία τιμωρείται με ποινή φυλάκισης τουλάχιστον ενός (1) έτους,
δ) να μην τελούν υπό στερητική δικαστική συμπαράσταση (πλήρη ή μερική), υπό επικουρική δικαστική συμπαράσταση (πλήρη ή μερική) και υπό τις δύο αυτές καταστάσεις.
Άρθρο 11
Έναρξη ισχύος Μεταβατικές διατάξεις
1.Η ισχύς της παρούσας άρχεται από τη δημοσίευσή της.
2.Από τη θέση σε ισχύ της παρούσας καταργείται η 24001/2013 (ΦΕΚ Β’ 1449) κοινή υπουργική απόφαση και κάθε άλλη σχετική τροποποίηση που ακολούθησε.
3.Εξαιρούνται οι υφιστάμενες συμβάσεις που ήδη εκτελούνται και οι εκκρεμείς διαγωνιστικές διαδικασίες σύμφωνα με τις προβλέψεις των άρθρων 61 και 120 του ν. 4412/2016.
4.Το άρθρο 6 του παρόντος ισχύει για τα στοιχεία που θα καταχωρηθούν για τη σχολική χρονιά 2019-2020 και έπειτα.
Η απόφαση αυτή να δημοσιευθεί στην Εφημερίδα της Κυβερνήσεως.
ΠΑΡΑΡΤΗΜΑ
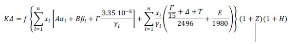
1.Μαθηματικοί τύποι υπολογισμού κόστους δρομολογίων μεταφοράς μαθητών
Για Λεωφορείο ή μικρό λεωφορείο
Το κόστος ενός δρομολογίου λεωφορείου ή μικρού λεωφορείου, όταν αυτά θεωρούνται ως προσφορότερα μέσα, σε μια διαδρομή ισούται με:

Όπου:
i: Τμήμα της διαδρομής μήκους χ. χιλιομέτρων που ανήκει σε μία από τις παρακάτω επτά (n =7) κατηγορίες οδών/ κλίσεων οδοστρώματος:
Τμήμα i | 1 | 2 | 3 | 4 | 5 | 6 | 7 |
Κατηγορία οδού | Εντός πόλης | Εντός πόλης | Εκτός πόλης | Εκτός πόλης | Χωματόδρομος | Χωματόδρομος | Εντός ΠΣΠ ή ΠΣΘ |
Κλίση | Μικρή | Μεγάλη | Μικρή | Μεγάλη | Μικρή | Μεγάλη | Ανεξάρτητο κλίσης |
(ΠΣΠ: Πολεοδομικό Συγκρότημα Πρωτεύουσας/ΠΣΘ: Πολεοδομικό Συγκρότημα Θεσσαλονίκης).
Τα τμήματα χ. αφορούν αποκλειστικά και μόνο σε έμφορτα χιλιόμετρα απόστασης, δηλαδή στα τμήματα των δρομολογίων όπου το όχημα μεταφέρει μαθητές. Τα συνολικά έμφορτα χιλιόμετρα προκύπτουν από την άθροιση των επιμέρους τμημάτων χ. και συμβολίζονται με Σχ.. Στον υπολογισμό του ΚΔ έχουν συμπεριληφθεί και τα μη έμφορτα χιλιόμετρα, μέσω ενός συντελεστή προσαύξησης f ο οποίος λαμβάνει τιμές από 1.20 μέχρι 1.40. Η προσαύξηση αυτή θεωρείται ότι καλύπτει το κόστος της διαδρομής του οχήματος χωρίς μαθητές. Ο συντελεστής αυτός υπολογίζεται ως εξής:

Οι αριθμητικές σταθερές στον τύπου του ΚΔ είναι οι παρακάτω:
•2496: Το γινόμενο 312 ημερών x 8 ωρών απασχόλησης του οχήματος ανά χρόνο.
•1980: Το γινόμενο 11 μηνών x 22.5 ημερών x 8 ωρών απασχόλησης του οδηγού.
•3.35 10-5: το πηλίκο του συντελεστή 0.0837 διά του χρόνου απασχόλησης του οχήματος ανά έτος (2496). Ο συντελεστής 0.0837 (8.37%) πολλαπλασιάζεται με την εμπορική αξία του οχήματος και δίνει μια εκτίμηση του κόστους συντήρησης ανά έτος.
•15: Τα έτη απόσβεσης του κεφαλαίου του οχήματος.
Οι συντελεστές κοστολόγησης (όπως αναφέρονται
κατωτέρω στην παρ. 2) ανά τμήμα κατηγορίας οδού i είναι οι εξής:
•ai: Συντελεστής κατανάλωσης καυσίμου στο τμήμα i (λίτρα ανά χιλιόμετρο)
•βi Συντελεστής φθοράς ελαστικών στο τμήμα i (τεμάχια ανά χιλιόμετρο)
•γi Εμπορική ταχύτητα στο τμήμα i (χιλιόμετρα ανά ώρα).
Τιμές μονάδας:
•Α: Τιμή καυσίμου (€ ανά λίτρο)
•Β: Τιμή ελαστικού (€ ανά τεμάχιο)
•Γ: Εμπορική αξία (κεφάλαιο) οχήματος σε €
•Δ: Ετήσιο κόστος ασφάλισης οχήματος σε €
•Ε: Ετήσιο κόστος οδηγού σε €
•Τ: Τέλη κυκλοφορίας οχήματος σε €.
Άλλοι συντελεστές:
•Ζ: Προσαύξηση λόγω διοικητικών δαπανών, λαμβάνει την τιμή 0.25 (25%).
•Η: Προσαύξηση λόγω απροβλέπτων και ευλόγου κέρδους, λαμβάνει την τιμή 0.15 (15%).
Ορίζεται ως ελάχιστο κόστος ανά κατηγορία οχήματος και ανά μονό δρομολόγιο το ισόποσο των πέντε (5) χιλιομέτρων, συνυπολογιζόμενης και της ανωτέρω προσαύξησης, εντός πόλεως με μικρή κλίση.
Ειδικά για τη μητροπολιτική περιφέρεια Αττικής και τη μητροπολιτική ενότητα Θεσσαλονίκης το ανωτέρω ελάχιστο κόστος διπλασιάζεται στα δρομολόγια τα οποία ανατίθενται ανά μονή ή διπλή διαδρομή.
Για κάθε είδος οχήματος προβλέπεται ότι το κόστος υπολογίζεται ως το υψηλότερο εκ των δύο εναλλακτικών επί των μονών δρομολογίων, είτε βάσει του μαθηματικού τύπου, είτε βάσει του ελάχιστου κόστους ανά είδος οχήματος.
Στην περίπτωση χρήσης ειδικά διαμορφωμένων οχημάτων για τη μεταφορά των μαθητών των ΣΜΕΑΕ, το ανωτέρω κόστος μπορεί να προσαυξάνεται έως και 50%.
Για Ε.Δ.Χ. όχημα
Το κόστος ενός δρομολογίου Ε.Δ.Χ. οχήματος, όταν αυτό θεωρείται ως προσφορότερο μέσο, ισούται με:
Κ=(ΣαΧ+7)Χμ
Όπου:
i: Τμήμα της διαδρομής εντός ή εκτός πόλεως, με μικρή ή μεγάλη κλίση, μήκους Xi χιλιομέτρων,
όπου Χ, ισούται με το μήκος της έμφορτης (με μαθητές) διαδρομής
Κ= μέγιστο κόστος μισθωμένων Ε.Δ.Χ. οχημάτων
Χ = τιμή τιμολογίου 2, σύμφωνα με την κείμενη νομοθεσία περί του κομίστρου των Ε.Δ.Χ. οχημάτων, όπως ισχύει
αi = συντελεστής βατότητας 0,90 έως 1,3 ανάλογα με την ιδιομορφία του οδικού δικτύου σύμφωνα με τα περαιτέρω οριζόμενα στον αντίστοιχο πίνακα Ε.Δ.Χ. όχημα των συντελεστών κοστολόγησης της παραγράφου 2.
2.Συντελεστές κοστολόγησης
Υπολογίζονται οι βασικοί παράγοντες λειτουργικού κόστους, που είναι:
Καύσιμα, Ελαστικά και Συντήρηση οχημάτων για κάθε τύπο οχήματος και για κάθε είδος οδού, με κατάλληλη αναγωγή σε ενιαία μονάδα μήκους (ανά 1.000 χιλιόμετρα) και συντάσσονται οι αντίστοιχοι πίνακες συντελεστών κόστους εκάστου.
Α) Οι τύποι οχημάτων, με κριτήριο τον αριθμό των μεταφερόμενων προσώπων και μη συμπεριλαμβανομένου του οδηγού, είναι τρεις:
1.Μεγάλο λεωφορείο, άνω των 20 θέσεων καθήμενων στις υπεραστικές γραμμές ή άνω των 50 θέσεων συνολικά στις αστικές γραμμές.
2.Μικρό λεωφορείο, από 12 έως 20 θέσεις καθήμενων στις υπεραστικές γραμμές ή έως 50 θέσεις συνολικά στις αστικές γραμμές.
3.Επιβατικό Δημοσίας Χρήσης (Ε.Δ.Χ.) όχημα: έως 4 θέσεις για Ε.Δ.Χ. ΤΑΞΙ και έως 8 θέσεις για τα Ε.Δ.Χ. ΕΙΔΙΚΗΣ ΜΙΣΘΩΣΗΣ, ανάλογα με την άδεια του κάθε οχήματος.
Β) Τα είδη των οδών διακρίνονται σε τέσσερις κατηγορίες:
1.Εντός πόλεως: άσφαλτος καλής βατότητας, με συνθήκες κυκλοφοριακής συμφόρησης αστικής κυκλοφορίας, αναπτύσσονται χαμηλές εμπορικές ταχύτητες με συχνές στάσεις.
2.Εκτός πόλεως: άσφαλτος μέτριας βατότητας ή/και οδός με περιορισμένη ορατότητα, αναπτύσσονται μέσες εμπορικές ταχύτητες.
3.Χωματόδρομος ή άσφαλτος κακής βατότητας ή κίνηση σε χιόνι, περιορισμένη ορατότητα, αναπτύσσονται χαμηλές εμπορικές ταχύτητες με μεγάλη φθορά στα ελαστικά και στο όχημα.
4.Εντός πολεοδομικού συγκροτήματος Αθηνών και Θεσσαλονίκης: άσφαλτος καλής βατότητας, με συνθήκες αυξημένης κυκλοφοριακής συμφόρησης αστικής κυκλοφορίας, αναπτύσσονται χαμηλές εμπορικές ταχύτητες με συχνές στάσεις.
Πολεοδομικό συγκρότημα Αθηνών
Περιλαμβάνονται οι Δήμοι που υπάγονταν στην περιφέρεια της τέως Διοίκησης Πρωτευούσης.
Πολεοδομικό Συγκρότημα Θεσσαλονίκης
Περιλαμβάνονται οι Δήμοι: Θεσσαλονίκης, Καλαμαριάς Κορδελιού-Ευόσμου, Νεάπολης-Συκεών εκτός της Δημοτικής Ενότητας Πεύκων, Αμπελοκήπων-Μενεμένης, Παύλου Μελά εκτός της Δημοτικής Ενότητας Ευκαρπίας, ΠυλαίαςΧορτιάτη εκτός των Δημοτικών Ενοτήτων Πανοράματος και Χορτιάτη.
Γ) Για κάθε είδος οδού εξετάζονται δύο κατηγορίες κατά μήκος κλίσεων:
1.μικρές κλίσεις 0-5%,
2.μεγάλες κλίσεις 5% και άνω.
Ι. ΛΕΙΤΟΥΡΓΙΚΟ ΚΟΣΤΟΣ Λεωφορείων Πίνακας συντελεστών κόστους καυσίμων «α» Καταναλώσεις (λίτρα ανά 1.000 χιλιόμετρα)
| Είδος Οδού | Κλίση Οδού | Λεωφ. Μικρά (λίτρα) | Λεωφ. Μεγάλα (λίτρα) |
| Εντός πόλεως | Μικρή | 202,9 | 458,7 |
Μεγάλη | 214,5 | 727,8 | |
| Εκτός πόλεως | Μικρή | 186,2 | 381,2 |
Μεγάλη | 199,3 | 608,1 | |
| Χώμα ή Χιόνι | Μικρή | 219,5 | 414,9 |
Μεγάλη | 230,0 | 633,7 | |
| Εντός ΠΣΠ και ΠΣΘ | Ανεξαρτήτως κλίσης | 208,7 | 593,25 |
Πίνακας συντελεστών κόστους ελαστικών «β» Καταναλώσεις (αριθμός ελαστικών ανά χιλιόμετρο)
| Είδος Οδού | Κλίση Οδού | Λεωφ. Μικρά | Λεωφ. Μεγάλα |
| Εντός πόλεως | Μικρή | 0, 0000793 | 0,0000793 |
Μεγάλη | 0, 0001990 | 0,0001990 | |
| Εκτός πόλεως | Μικρή | 0, 0000861 | 0,0000861 |
Μεγάλη | 0, 0002158 | 0,0002158 | |
| Χώμα ή Χιόνι | Μικρή | 0, 0000999 | 0,0000999 |
Μεγάλη | 0, 0002519 | 0,0002519 | |
| Εντός ΠΣΠ και ΠΣΘ | Ανεξαρτήτως κλίσης | 0, 0000793 | 0,0000793 |
Πίνακας εμπορικών ταχυτήτων «γ»
| Η μέση ταχύτητα (χλμ/ώρα) με την | Κλίση Οδού | Λεωφ. Μικρά | Λεωφ. Μεγάλα |
| Εντόςπόλεως | Μικρή | 18 | 15 |
Μεγάλη | 15 | 12 | |
| Εκτόςπόλεως | Μικρή | 45 | 45 |
Μεγάλη | 35 | 35 | |
| Χώμα ή Χιόνι | Μικρή | 18 | 18 |
Μεγάλη | 8 | 8 | |
| Εντός ΠΣΠ και ΠΣΘ | Ανεξαρτήτως κλίσης | 13 | 10 |
Ε.Δ.Χ. όχημα
| Είδος Οδού | Κλίση Οδού | α |
| Εκτός πόλεως | Μικρή | 0.9 |
Μεγάλη | 1 | |
| Χώμα ή Χιόνι | Μικρή | 1,1 |
Μεγάλη | 1,2 | |
| Εντός πόλεως | Μικρή | 1,1 |
Μεγάλη | 1,2 | |
| Εντός ΠΣΠ και ΠΣΘ | Ανεξαρτήτως κλίσης | 1,3 |
II.ΚΟΣΤΟΣ ΟΧΗΜΑΤΩΝ ΛΕΩΦΟΡΕΙΩΝ
Το ετήσιο κόστος οχημάτων αν και είναι μέρος του λειτουργικού κόστους εξετάζεται χωριστά και ανάγεται σε συντελεστή μοναδιαίου κόστους €/km.
Το κόστος που οφείλεται στο όχημα αποτελείται από το κόστος απόσβεσης του οχήματος, ασφάλιστρα, τέλη κυκλοφορίας και δαπάνες φύλαξης οχημάτων.
Απόσβεση οχημάτων
Οι αποσβέσεις υπολογίζονται ετησίως ως το 1/15 της αξίας κτήσης του οχήματος. Το κόστος απόσβεσης ανάγεται σε μοναδιαίο κόστος €/Km, βάσει των ετησίων χιλιομέτρων που αντιστοιχούν στο είδος και την κλίση του τμήματος της οδού.
Ασφάλιστρα τέλη κυκλοφορίας
Τα ασφάλιστρα προκύπτουν από τα σχετικά συμβόλαια ασφάλισης ανάλογα με τις απαιτήσεις του εργοδότη. Τα τέλη κυκλοφορίας ανά όχημα ορίζονται κάθε χρόνο από το Υπουργείο Οικονομικών. Το κόστος ασφάλισης και τελών κυκλοφορίας ανάγεται σε μοναδιαίο κόστος €/Km, βάσει των ετησίων χιλιομέτρων που αντιστοιχούν στο είδος και την κλίση του τμήματος της οδού.
III.ΚΟΣΤΟΣ ΟΔΗΓΩΝ ΛΕΩΦΟΡΕΙΩΝ
Στο κόστος οδηγού λαμβάνεται υπόψη η μέση ετήσια δαπάνη οδηγού, ανάλογα με τη σύνθεση του δυναμικού των οδηγών που συνίσταται στις ετήσιες αποδοχές με τις εργοδοτικές εισφορές. Ως μοναδιαίο κόστος δαπάνης οδήγησης λαμβάνεται η μέση ετήσια δαπάνη οδηγού για 8ωρο ημερησίως 22,5 εργάσιμες ημέρες το μήνα, για 11 μήνες. Το κόστος οδηγού για κάθε τμήμα οδού ανάγεται σε μοναδιαίο κόστος €/Km, βάσει του μοναδιαίου κόστους οδήγησης και της μέσης εμπορικής ταχύτητας που αντιστοιχεί στο είδος και την κλίση του τμήματος της οδού.
IV.ΛΟΙΠΕΣ ΔΑΠΑΝΕΣ ΛΕΩΦΟΡΕΙΩΝ
Οι λοιπές δαπάνες, χαρακτηρίζονται ως πάγιες και περιλαμβάνουν το κόστος της Διοίκησης, του Γραφείου Κίνησης, του Λογιστηρίου, τις δαπάνες εισιτηρίων και διαχείρισης. Οι δαπάνες αυτές μπορούν να προϋπολογιστούν ως ίσες με το είκοσι πέντε τοις εκατό (25%) του αθροίσματος του Λειτουργικού Κόστους, του Κόστους Οχημάτων και του Κόστους Οδηγών.
V.ΑΠΡΟΒΛΕΠΤΑ ΚΑΙ ΕΥΛΟΓΟ ΚΕΡΔΟΣ
Το σύνολο των παραπάνω δαπανών επιβαρύνεται κατά 15% για την κάλυψη τυχόν απρόβλεπτων εξόδων και του εύλογου κέρδος.
3.Τιμές μονάδος
Α: Η τιμή του καυσίμου κάθε μήνα εκτέλεσης του συγκοινωνιακού έργου θα λαμβάνεται ίση με τη μέση τιμή του μηνός, όπως ορίζεται από τις αρμόδιες τοπικές αρχές και βάσει της οποίας θα διαμορφώνεται η τιμή του δρομολογίου.
Οι υπόλοιπες τιμές μονάδος, ορίζονται ως εξής:
Τιμή μονάδος (σε ευρώ) | Λεωφ. Μικρά | Λεωφ. Μεγάλα |
Β: Κόστος ελαστικού | 550 | 550 |
Γ: Κόστος οχήματος | 150.000 | 250.000 |
Δ: Ετήσιο κόστος ασφάλισης | 3.000 | 3.000 |
Ε: Ετήσιο κόστος οδηγού | 25.000 | 25.000 |
Τα τέλη κυκλοφορίας (Τ) ορίζονται κάθε χρόνο από το Υπουργείο Οικονομικών.
4.Δαπάνες Συνοδού
Προστίθεται η δαπάνη αποζημίωσης των συνοδών των σχολείων, Πρωτοβάθμιας Εκπαίδευσης ή ΣΜΕΑΕ, όπου αυτή προβλέπεται και απαιτείται από τη διακήρυξη.
Ο συνοδός αποζημιώνεται με το ισόποσο του ωρομισθίου του κατωτέρου μισθού σύμφωνα με το χρόνο της μονής διαδρομής που προκύπτει από τον μαθηματικό τύπο, με ελάχιστη απασχόληση τη μία ώρα, για έκαστο μονό δρομολόγιο. Στις περιπτώσεις δρομολογίου μετ’ επιστροφής, το ανωτέρω ποσό διπλασιάζεται.
Η δαπάνη αυτή προστίθεται στο ποσό που προκύπτει από το μαθηματικό τύπο.
5.Φόρος Προστιθέμενης Αξίας (ΦΠΑ)
Ο Φόρος προστιθέμενης αξίας επιβαρύνει τους μαθηματικούς τύπους του παρόντος σε ποσοστό ίσο σύμφωνα με τα ισχύοντα ανά περιοχή της χώρας.
Η απόφαση αυτή να δημοσιευθεί στην Εφημερίδα της Κυβερνήσεως.
Αθήνα, 19 Σεπτεμβρίου 2018




